Images used by the matlab code
The following images were used in the course of the demo. Most of them obtained from [28] and from google image search
Arctic Hare (JPEG)
Wildflowers (JPEG)
Goldhill (TIFF)
Bush (JPEG)
Lena (GIF)
F15 (JPEG)
F16 (JPEG)
scale_lena (GIF)
DCTAlgo (BMP)
Other images used in the documentation:
Prisoners problem
Music Steganography
Schema of Steganography
LSB encoding
LSB decoding
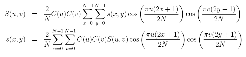
DCT
JPEG overview
Watermarking overview
Spread-spectrum watermarking
Spread-spectrum Graph - simple
Spread-spectrum Graph (jpeg)
Spread-spectrum Graph (scale+jpeg)
Log polar mapping